Springe auf Hauptinhalt Springe auf Hauptmenü Springe auf SiteSearch

So funktioniert ein dynamischer Durchflussregler als Thermostatventil

Schnittmodell eines dynamischen Ventils.

Gampper

Schnittmodell eines dynamischen Ventils.

Im Kontext von Energiesparpflichten ist der hydraulische Abgleich oft relevant. Ventilhersteller betonen die Vorteile durchflussgeregelter  Thermostatventile, um Anlagenmechanikern und Endkunden den Alltag zu erleichtern. Welche Vorteile können diese Technik für Profis und Kunden bieten? Von Elmar Held.

Zuerst beschreiben die ernüchternden Fakten den gesetzlich vorgeschriebenen Weg zum Einsparglück. In meinen Worten als Stichpunkte:

● Du, lieber Verbraucher, sollst eine hydraulisch abgeglichene Heizungsanlage betreiben, weil damit kostbare Energie eingespart werden kann gegenüber einer nicht abgeglichenen Anlage.
● Du, lieber Anlagenmechaniker, sollst, falls noch nicht ­geschehen, diesen hydraulischen Abgleich nach Maßgabe des Verfahrens B nach der ZVSHK-Fachregel „Optimierung von Heizungsanlagen im Bestand“, VdZ – Wirtschaftsvereinigung Gebäude und Energie e. V., 1. aktualisierte ­Neuauflage April 2022, Ziffer 4.2, durchführen.
● Du, lieber Ventilhersteller, bietest Kunden und Anlagenmechanikern zwei unterschiedliche Ventiltypen zur Realisierung des hydraulischen Abgleichs an und verweist auf den Vorteil der dynamischen Ventile aus deinem Sortiment.
● Du, als Fachmedium, sollst den Unterschied der beiden Ventile erklären, damit am Ende jeder Anlagenmechaniker sein passendes Ventil vom Großhändler holt.

Was Unterlegscheiben mit dem hydraulischen Abgleich zu tun haben, lesen Sie in diesem Bericht

2ragon – stock.adobe.com

Was Unterlegscheiben mit dem hydraulischen Abgleich zu tun haben, lesen Sie in diesem Bericht

Grundsätzliches am Beispiel

In einem Mehrfamilienhaus mit 8 Parteien sollen sämtliche Heizkörper der Wohnungen einfach mit Thermostatventilen an den Vorläufen des Rohrnetzes angeschlossen sein. Wir betrachten gedanklich zuerst zwei extreme Wohnungspositionen im Hause.

Die Heizges

Die Wohnung der Familie Heizge liegt direkt über dem ­Heizungskeller und damit sehr nahe an der Umwälzpumpe. In Heizges Wohnung sind unterschiedliche Heizkörper verbaut. Zum Beispiel im innenliegenden Gäste-WC sitzt ein winziger einlagiger Flachheizkörper mit 230 Watt (W) Leistung, im Wohnzimmer ein Stahlradiator mit 1600 W. Heizges bekommen die Bude immer und in rasender Geschwindigkeit erwärmt. Oft rauscht es in den Ventilen und die ­Heizkörper entlassen das Wasser sehr heiß zurück in den Rücklauf. Der Brennwertkessel im darunterliegenden Keller kriegt die heiße Brühe ab und seine Effizienz leidet. Kühler wäre für den Brennwerteffekt deutlich besser.

Die Dachges

Im äußersten Winkel des Hauses, dazu noch im Obergeschoss wohnt Familie Dachge. Die Wohnung der Dachges ist ebenso aufgebaut wie die der Heizges, ein winziger Heizkörper im Gäste-WC und der Riese im Wohnzimmer. Besonders früh morgens, nach der Nachtabsenkung, wird die Wohnung nur schleppend warm. Das Wasser pullert durch die Heizkörper und angenehme Temperaturen werden, wenn überhaupt, erst nach geraumer Zeit erreicht. Das bisschen Wasser, das durch die Heizkörper dröppelt, verlässt diesen stark abgekühlt. Der Heizkörper erreicht seine vorgesehene Leistung daher oft nicht.

Problemlösung

Sie als Leser haben jetzt natürlich schon eine Lösung parat. Man drosselt die Heizkörper der Heizges. Der winzige Heizkörper im Gäste-WC kriegt beispielweise eine ordentliche Bremse in den Zulauf.

Theoretisch könnte man eine Unterlegscheibe vor das Thermostatventil setzen mit einer Bohrung von 2 Millimeter (mm). Der Heizkörper im Wohnzimmer der Heizges könnte ebenfalls eine Unterlegscheibe im Zulauf bekommen mit einer Bohrung von vielleicht 4 mm. Die Logik für die entsprechenden Bohrungen ist einfach. Pumpennah und mit kleiner Leistung erhält viel Drosselung, pumpennah mit hoher Leistung erhält etwas weniger Drosselung als der Winzling.

Das Wasser, das jetzt nicht mehr durch Heizges Heizkörper fließt, steht dann für andere Heizkörper zur Verfügung. Die Dachges atmen auf, kommt doch jetzt endlich genug Heizwasser zu ihnen ins Obergeschoss. Dachges Heizkörper im Gäste-WC bekommt eine Unterlegscheibe mit 8-mm-Bohrung und der hungrige Heizkörper im Wohnzimmer bleibt ohne Unterlegscheibe vor dem Thermostatventil, also mit vollem Durchgang erhalten.

Das nennen wir in der technischen Gebäudeausrüstung ­einen hydraulischen Abgleich, ist schon klar. Und klar ist auch, dass man statt eingelegter Unterlegscheiben die Thermostatventile mittels Voreinstellung reguliert. Für den Heizkörper ist der Unterschied von einer Unterlegscheibe zur Voreinstellung im Ventil nicht zu spüren. Dieses statische System funktioniert unter Volllast und im Auslegungszustand.

Unter dem Thermostatkopf befindet sich eine Skalierung zur Einstellung des errechneten Wertes. Das gilt für Ventile mit Festwert oder Durchflussregelung gleichermaßen.

Jan – stock.adobe.com

Unter dem Thermostatkopf befindet sich eine Skalierung zur Einstellung des errechneten Wertes. Das gilt für Ventile mit Festwert oder Durchflussregelung gleichermaßen.

Problem Teillastbetrieb

Weder Heizges noch Dachges beheizen sämtliche Räume ganztägig. Meist sind die Heizkörper in den Schlafzimmern abgestellt. Die Wohnzimmer werden nur am Abend auf wohnliche Temperaturen gebracht. Lediglich das Esszimmer wird an kalten Tagen dauerhaft warmgehalten. Der Volumenstrom, der nicht durch die geschlossenen Heizkörper fließt, steht also für die verbleibenden Heizkörper im Hause zur Verfügung. Aber die abgestellten Schlafzimmer brauchen ja eigentlich nichts oder nur einen geringen Volumenstrom. Das Teillastverhalten mit den festen Einstellungen, also gedanklich den Unterlegscheiben, hat einen Haken. Die im Betrieb verbleibenden Heizkörper kriegen einen zu hohen Wasserdurchfluss mit den bereits beschriebenen Nachteilen. Nachteilig können sein die zeitweise Überhitzung, hörbare Fließgeräusche und die Verhinderung eines Brennwerteffektes.

Problem Rohrnetz

Wenn zu dem eben nur in Gedanken skizzierten Achtfamilien-Wohnhaus keine Rohrnetzpläne existieren, bleibt es eine Schätzarbeit, die richtige Einstellung der Heizkörper zu finden. Nahe an der Pumpe, bei Heizges, oder entfernt, bei Dachges, sind nun mal nur sehr vage Aussagen. Und die sechs anderen Wohnungen mit gleicher Ausstattung wollen auch noch richtig eingeordnet werden. Die festen Einstellungen der Heizkörper des gesamten Hauses können also in der Vorbereitung schon Kopfzerbrechen bereiten und Zeit binden, die oft nur schwer zu entbehren ist.

Das beschriebene Beispiel

IBH

Das beschriebene Beispiel

Problemlösung

Angenehmer für den Heizungsbauer wäre es doch, die Heizkörper mit einem festen Einstellwert versehen zu können unabhängig von der Lage im Gebäude. Der Winzling im Gäste-WC kriegt bei Heizges und Dachges dieselbe Voreinstellung, und auch der Wohnzimmerheizkörper hat einen festen Wert unabhängig von seiner Position im Heizungsrohrnetz. Wünschenswerter und effizienter wäre auch ein angepasstes Teillastverhalten der Ventile. Möglich wäre ein solcher Betrieb beispielsweise dann, wenn sich die Ventile auf einen Volumenstrom einstellen ließen, statt einer festen Drosselung zu gehorchen. Und genau hier setzen dynamische Ventile an. Es wird keine feste Drossel mehr montiert, sondern ein Durchflussregler.

Logisch zugeordnete Einstellwerte bezogen auf den jeweiligen Durchfluss. Der Volumenstrom bleibt weitestgehend konstant.

Gampper

Logisch zugeordnete Einstellwerte bezogen auf den jeweiligen Durchfluss. Der Volumenstrom bleibt weitestgehend konstant.

Aufgabe dynamischer Ventile

Unabhängig von der Position eines Heizkörpers in einem Rohrnetz bekommt ein dynamisches Thermostatventil eine Voreinstellung entsprechend einem vorgewählten Volumenstrom.

Beispiel:

Ein Heizkörper im Gäste-WC bei einer Leistung von 230 W und einer vorgesehenen Spreizung von 10 Kelvin (K) müsste rund 20 Liter pro Stunde (l/h) erhalten. Der rechnerische Nachweis erfolgt später im Text. Ein Heizkörper mit 1600 W müsste entsprechend mit maximal 138 l/h durchströmt werden, und das bei Heizges und Dachges gleichermaßen.

Verändern sich die hydraulischen Verhältnisse im Haus, reagiert dann eine Drossel in dem dynamischen Ventil und reißt bei abnehmendem Volumenstrom weiter auf beziehungsweise fährt zu bei zunehmendem Volumenstrom. ­Dabei kommt natürlich die Temperaturreglung nicht zu kurz. Der Thermostatkopf versieht wie gewohnt seinen Dienst. Der Kopf schließt und öffnet den Zulauf abhängig von der gewählten und der vom Dehnkörper registrierten Raumtemperatur.

Hightech?

Technisch ist es also verschiedenen Herstellern gelungen, einerseits einen Ventilteller abhängig von einem Dehnelement des Thermostatkopfs zu bewegen und andererseits einen vorgewählten Volumenstrom weitestgehend kon­stant zu halten. Dazu haben die Hersteller an dem Prinzip der Raumtemperaturregelung nichts verändert. Daher funktionieren die herkömmlichen Thermostatköpfe der Hersteller auch weiterhin auf diesen Ventilen.

Die Funktionserweiterung der Durchflussregelung erreicht man je nach Hersteller mit einem verschiebbaren Kegel oder einer dehnbaren Kapsel jeweils mitten im Heizwasserstrom.

Die Veränderung eines solchen Kegels oder einer Kapsel erfolgt als Voreinstellung von außen und durch den fachmännischen Kunstgriff eines Anlagenmechanikers. Das Ventil wird in Abhängigkeit vom Volumenstrom je nach Anforderung geschlossen oder geöffnet.

Die beweglichen Teile dieser Konstruktionen ergeben so ein sich ergänzendes Gesamtkunstwerk. Einerseits kann der Thermostatkopf ganz konventionell die Anforderung an die Raumtemperatur erfüllen, andererseits begrenzt das Zusammenspiel von Kegel oder Kapsel den maximalen Volumenstrom. Die ausgeklügelten Strömungs- und Druckverhältnisse in solchen Ventilen machen es möglich.

Beispieleinstellungen

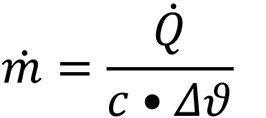
Der im Text skizzierte Heizkörper des Gäste-WCs mit 230 Watt Leistung kann rechnerisch bei einer vorgesehenen Spreizung von 10 Kelvin sehr einfach bezüglich des notwendigen Volumenstroms berechnet werden.

Die berühmte Formel Kuhistgleichemmmalcemaldeltatheta hilft:

Umgestellt zur Suche nach dem Massenstrom ergibt sich ganz einfach:

und eingesetzt für den Heizkörper mit 230 W bei 10 K Spreizung

Wir setzen in diesem Fall also voraus, dass 1 kg Wasser einem Volumen von 1 l entspricht. Das ist für die meisten Berechnungen im Heizungsbau völlig ausreichend.

Die Einstellung erfolgt gemäß den Herstellerangaben für diesen kleinen Heizkörper im Gäste-WC auf den Einstellwert 1. Der Thermostat im Wohnzimmer wird auf die dynamische Stellung 4 eingerichtet.

Funktionsprinzip der Durchflussregelung

Gampper

Funktionsprinzip der Durchflussregelung

Vorteile dynamischer Ventile

Die Vorteile dieser Technik liegen auf der Hand. Der Einbau eines solchen Ventils ist einfach und erfolgt stumpf gemäß der Leistung und der vorgesehenen Spreizung des Heizkörpers. Hat man durch diesen Bezug einen Einstellwert für den Kegel gefunden, ergibt sich der Rest automatisch.

Der dynamische Teil des Ventils reguliert die Durchströmung und kappt die ungeliebten Spitzen im Teillastbetrieb. Der Verbrauch an Wärmeenergie wird auf das notwendige Maß begrenzt. Die Rücklauftemperaturen lassen sich so ebenfalls begrenzen, ohne dass aufwendige Rechnungen über das Rohrnetz zu erarbeiten sind. Diese Technik kann man auch auf die Verteilung und den Abgleich von Fußbodenheizkreisverteilern ausdehnen. Denn auch andere Typen von Heizflächen lassen sich mit einem dynamisch angepassten Volumenstrom effizienter betreiben.

Und die EnSimiMaV?

Laut Mittelfristenergieversorgungssicherungsmaßnahmenverordnung sollen bestimmte Wohnhäuser hydraulisch abgeglichen werden. Vorgeschrieben hierzu ist, wie bereits eingangs dieses Berichts beschrieben, das Verfahren B. Und innerhalb dieses Verfahrens B wird ausdrücklich eine Erleichterung formuliert:

In meinen Worten und anhand des Beispiels von Heizges und Dachges kann ich zusammenfassen:

Für einen korrekten hydraulischen Abgleich bei Heizges und Dachges würde ich mit sehr unterschiedlichen festen Drosseln an den Heizkörpern der Wohnungen arbeiten müssen. Vergleichbar sind die festen Einstellungen mit den zitierten Unterlegscheiben und ihren unterschiedlichen Bohrungen.

Zur Ermittlung der Einstellung müsste ich zumindest einige Details über das Rohrnetz wissen.

Arbeite ich jedoch mit dynamischen Thermostatventilen, können Heizkörper gleicher Leistung und Spreizung den gleichen Einstellwert zur Durchströmung annehmen. Egal wo im System ein Heizkörper angebunden ist, kann der Volumenstrom damit vorbestimmt und letztlich annähernd konstant gehalten werden.

Besonderheit beim Verfahren B

Besonderheit bei Thermostatventilen mit automatischer Durchflussbegrenzung: Bei diesen Ventilen wird auf die Differenzdruckannahme zur Auslegung verzichtet und lediglich der erforderliche Heizkörper-Volumenstrom direkt am Ventil eingestellt.

Dieser Artikel ist zuerst in SBZ Monteur 05-2023 unter dem Titel „Der Einfachheit halber“ erschienen.