Springe auf Hauptinhalt Springe auf Hauptmenü Springe auf SiteSearch

Lüftungskonzept und Berechnung ­der Luftvolumenströme

Der erste Teil der Beitragsreihe beschäftigte sich mit dem Anwendungsbereich der Norm und den Neuerungen, die ventilatorgestützte Systeme betreffen. Im Mittelpunkt des zweiten Teils stehen neben den Änderungen, die die Berechnung der Außenluftvolumenströme und die Auslegung von Lüftungskomponenten betreffen, Informationen zum Erstellen eines Lüftungskonzepts.

Zum Lüftungskonzept gehören nach DIN 1946-6 das Prüfen der Notwendigkeit lüftungstechnischer Maßnahmen sowie die Auswahl eines Lüftungssystems. Das Festlegen der Außenluftvolumenströme und die Dimensionierung der Lüftungssysteme sind hingegen nicht Bestandteil des Lüftungskonzepts.

Bild 2: Volumenstromkoeffizient zum Nachweis der Notwendigkeit lüftungs­technischer Maßnahmen nach DIN 1946-6:2019.

Bild: ITG Dresden, Quelle: DIN 1946-6:2019

Bild 2: Volumenstromkoeffizient zum Nachweis der Notwendigkeit lüftungs­technischer Maßnahmen nach DIN 1946-6:2019.
Bild 3: Faktor zur Berücksichtigung des Wärmeschutzes zum Nachweis der ­Not­wendigkeit lüftungstechnischer Maßnahmen nach DIN 1946-6:2019.

Bild: ITG Dresden, Quelle: DIN 1946-6:2019

Bild 3: Faktor zur Berücksichtigung des Wärmeschutzes zum Nachweis der ­Not­wendigkeit lüftungstechnischer Maßnahmen nach DIN 1946-6:2019.

Erstellen eines Lüftungskonzepts

Um die Notwendigkeit lüftungstechnischer Maßnahmen zu überprüfen, wird die für übliche Nutzungen erforderliche Lüftung zum Feuchteschutz qv,ges,NE,FL mit dem durch Infiltration realisierbaren Luftvolumenstrom qV,Inf,Konzept verglichen. Wenn qV,Inf,Konzept < qv,ges,NE,FL ist, sind lüftungstechnische Maßnahmen notwendig. Die erforderlichen Luftvolumenströme werden wie folgt berechnet:

  • Luftvolumenstrom durch Infiltration:
    qV,Inf,Konzept = ez,Konzept ∙ VNE ∙ n50 (1)
  • Luftvolumenstrom für Lüftung zum Feuchteschutz:
    qv,ges,NE,FL =
    fWS · (-0,002 · ANE2 + 1,15 · ANE + 11) (2)
  • mit

    ez,Konzept Volumenstromkoeffizient (Bild 2)

    VNE Luftvolumen der Nutzungseinheit in m3 

    n50 Luftwechsel bei 50 Pa Differenzdruck in h-1

    fWS Faktor zur Berücksichtigung des Wärmeschutzes des Gebäudes (Bild 3)

    ANE Fläche der Nutzungseinheit in m2

    Die n50-Auslegungswerte in Abhängigkeit von der Gebäudekonstellation und vom Lüftungssystem sowie die Zuordnung der Landkreise zum windschwachen oder windstarken Gebiet (Bild 2) bleiben in der Neufassung der Norm unverändert.

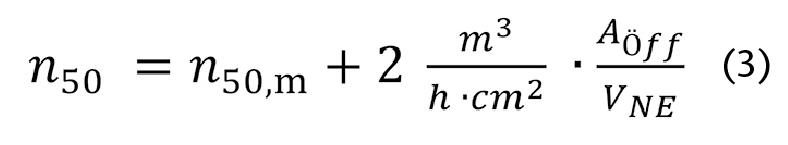
    Wird die Gebäudedichtheit mit einer Messung bestimmt, kann eine rechnerische Korrektur für kleine Öffnungen erfolgen, die bei der Messung abgedichtet, bei bestimmungsgemäßer Nutzung aber offen sind: 

    mit

    n50,m Messwert des Luftwechsels bei 50 Pa Differenzdruck, in h-1

    AÖff Fläche von kleinen Öffnungen, die bei der Messung der Luftdichtheit nicht erfasst (abgedichtet) wurden, aber bei bestimmungsgemäßer Nutzung des Gebäudes geöffnet sind, in cm2

    Bei der Belegungsdichte kann nach DIN 1946-6:2019 davon ausgegangen werden, dass sie in selbst genutztem Eigentum, beispielsweise in Einfamilienhäusern, gering ist. Soll zum Zeitpunkt der Lüftungsplanung nicht festgelegt werden, wie viele Bewohner das Gebäude bzw. die Wohnung nutzen werden, liegt die Annahme einer hohen Belegungsdichte lüftungstechnisch auf der sicheren Seite.

    Bild 4 zeigt beispielhaft für neu zu errichtende Gebäude und unter Annahme von Auslegungswerten für die Gebäudedichtheit die resultierende Notwendigkeit lüftungstechnischer Maßnahmen. Tendenziell sind diese Maßnahmen eher erforderlich

  • im Bestand, weil hier der Wärmeschutz meist schlechter ist als im Neubau,
  • in Mehrfamilienhäusern, weil die Lüftung durch thermischen Auftrieb geringer ist als in Einfamilienhäusern,
  • in dichteren Gebäuden aufgrund des geringeren Luftaustauschs durch Leckagen.
  • Bild 4: Notwendigkeit lüftungstechnischer Maßnahmen für neu zu errichtende Gebäude nach DIN 1946-6:2019.

    Bild: ITG Dresden

    Bild 4: Notwendigkeit lüftungstechnischer Maßnahmen für neu zu errichtende Gebäude nach DIN 1946-6:2019.

    Berechnung der ­Außenluftvolumenströme

    Die grundsätzliche Herangehensweise zur Berechnung der Außenluftvolumenströme bleibt in der Neufassung der DIN 1946-6 unverändert.

  • Der Gesamt-Außenluftvolumenstrom setzt sich aus den Anteilen der lüftungstechnischen Maßnahme, der Infiltration und des Fensteröffnens zusammen. Für die Auslegung lüftungstechnischer Maßnahmen geht die Norm von geschlossenen Fenstern aus.
  • Beim Bestimmen des Außenluftvolumenstroms sind Anforderungen für die gesamte Wohnung und – in Abhängigkeit vom Lüftungssystem – für bestimmte Räume einzuhalten. Falls bekannt, kann auch die Personenanzahl in die Auslegung einbezogen werden.
  • Es werden vier Lüftungsstufen definiert: Lüftung zum Feuchteschutz – reduzierte Lüftung – Nennlüftung – Intensivlüftung.
  • Maßnahmen der freien Lüftung werden nach reduzierter oder mindestens nach Lüftung zum Feuchteschutz ausgelegt.
  • Maßnahmen der ventilatorgestützten Lüftung werden mindestens nach Nennlüftung und optional nach Intensivlüftung ausgelegt.
  • Die nicht durch lüftungstechnische Maßnahmen abgedeckten Lüftungsstufen sind im Betrieb in Abhängigkeit von den Nutzerwünschen durch Fensteröffnen abzusichern.
  • Während in der Normenfassung von 2009 die Infiltration für die Auslegung aller Lüftungskomponenten angesetzt wird, ist die Anrechnung in der Neufassung nur noch bei Außenbauteil-Luftdurchlässen (ALD) zulässig. In der Konsequenz wird beim Auslegen von Zu-/Abluftsystemen keinerlei Infiltration mehr berücksichtigt, da bei diesen Systemen keine ALD eingesetzt werden.

    Die in Abhängigkeit von der Fläche der Nutzungseinheit zu bestimmenden Außenluftvolumenströme können mit Gleichung (2) berechnet werden. Statt fWS wird der Faktor f nach DIN 1946-6:2019 fLSt genannt. Für die weiteren Lüftungsstufen ist er folgendermaßen festgelegt:

  • Reduzierte Lüftung fLSt = 0,7
  • Nennlüftung fLSt = 1,0
  • Intensivlüftung fLSt = 1,3
  • Bild 5 zeigt die Außenluftvolumenströme für die gesamte Wohnung nach den unterschiedlichen Normenfassungen. Mit der Neufassung ergeben sich folgende Änderungen:

  • Erweiterung der Angaben für kleinere Wohnungen ab 20 m2. So beträgt z. B. nach neuer Norm der Volumenstrom für die Nennlüftung einer Wohnung mit 20 m2 ca. 35 m3/h. Nach der Normenfassung von 2009 waren es ca. 55 m3/h (abgelesen für 30 m2).
  • Reduzierung der Außenluftvolumenströme für alle Wohnungsgrößen, insbesondere aber für größere Wohnungen. Beispielsweise fordert die neue Normenfassung für eine Wohnung mit 200 m2 ca. 160 m3/h, nach DIN 1946-6:2009 waren es ca. 210 m3/h.
  • Anpassung des Rechenalgorithmus für sehr große Wohnungen: Die verwendete quadratische Gleichung führt in sehr großen Wohnungen mit Flächen > 300 m2 zu einer Reduzierung des Luftvolumenstroms bei zunehmender Wohnfläche. Dies wird kompensiert, indem ab Wohnflächen > 210 m2 der Luftvolumenstrom bei Nennlüftung mit einem Zuschlag von 4 m3/h je 10 m2 Wohnfläche bestimmt wird.
  • Bild 5: Gesamt-Außenluftvolumenstrom im Vergleich der Normenfassung 2009 und der Neufassung 2019.

    Bild: ITG Dresden

    Bild 5: Gesamt-Außenluftvolumenstrom im Vergleich der Normenfassung 2009 und der Neufassung 2019.

    Auslegung von Lüftungssystemen

    Die Auslegung von Lüftungskomponenten für die freie Lüftung folgt in der Neufassung der Norm den prinzipiell gleichen Ideen wie bisher. Neben den bereits ausgeführten Neuerungen zur Bestimmung der Gesamt-Außenluftvolumenströme und der Anrechnung der Infiltration wird die Festlegung der raumweise erforderlichen Außenluftvolumenströme angepasst (Bild 6).

    Für die Dimensionierung der ALD wird die Infiltration in Abhängigkeit von Gebäudeparametern wie Standort und Gebäudelage sowie von Parametern der Nutzungseinheit wie Höhe über Grund, Fassadenanzahl und Anzahl der Geschosse bestimmt:

    mit

    fWind Korrekturfaktor für den Einfluss des Windes, siehe Gleichung (5)

    fTherm Korrekturfaktor für den Einfluss des thermischen Auftriebs (Bild 7)

    fOrt Korrekturfaktor für den Gebäudestandort (Bild 7)

    fLage Korrekturfaktor für die Gebäudelage (Bild 7)

    fHöhe Korrekturfaktor für die Höhe der Nutzungseinheit über Grund (Bild 7)

    fFassade Korrekturfaktor für die Anzahl der Fassaden einseitig orientierter ­Nutzungseinheiten (eine Fassade) (Bild 7)

    Auch das Auslegen von Lüftungskomponenten für die ventilatorgestützte Lüftung folgt in der Neufassung der Norm den gleichen Grundsätzen wie bisher. Die Festlegung der für Ablufträume erforderlichen Abluftvolumenströme wird angepasst (Bild 8).

    Für die Dimensionierung der ALD wird die Infiltration in Abhängigkeit vom Lüftungssystem und einer ggf. vorhandenen Feuerstätte durch Variation des Volumenstromkoeffizienten ez nach Bild 9 bestimmt.

    Sind in einer Wohnung viele Feuchträume vorhanden, ist es eher unwahrscheinlich, dass diese Räume alle gleichzeitig intensiv genutzt werden. Um in solchen Fällen überdimensionierte Lüftungssysteme zu vermeiden, wurde die Gleichung zur Bestimmung des Gesamt-Außenluftvolumenstroms in der Neufassung der Norm zur Berücksichtigung einer Gleichzeitigkeit erweitert:

    mit

    qv,ges,NL Gesamt-Außenluftvolumenstrom Nennlüftung, in m3/h

    qv,ges,NE,NL Außenluftvolumenstrom Nutzungseinheit Nennlüftung, siehe Gleichung (2) mit fLSt, in m3/h

    qv,ges,R,ab,NL Abluftvolumenströme Räume Nennlüftung (Bild 8), in m3/h

    Demnach ist nur das Minimum aus der Summe der Luftvolumenströme der Ablufträume und des 1,2-Fachen des Luftvolumenstroms für die Nutzungseinheit anzurechnen.

    Wie die Normenfassung von 2009 gibt auch die neue Norm Hinweise zur Dimensionierung einzelner Komponenten, wie ALD oder ÜLD (Überströmluftdurchlässe zwischen Räumen). Die Hinweise zu den Luftleitungen wurden um zusätzliche Angaben für kleine Rohrdurchmesser und für eine zulässige Strömungsgeschwindigkeit von 5 m/s z. B. für Sammelleitungen ergänzt.

    Ausblick

    Im dritten Teil der Reihe werden anhand von Beispielen die Auslegung nach DIN 1946-6 und DIN 18 017-3 sowie die Auslegung kombinierter Lüftungssysteme erläutert.

    Bild 6: Gesamt-Außenluftvolumenströme bei freier Lüftung für einzelne Räume mit Fenstern nach DIN 1946-6:2019 (und nach DIN 1946-6:2009).

    Bild: ITG Dresden, Quelle: DIN 1946-6:2019 und DIN 1946-6:2009

    Bild 6: Gesamt-Außenluftvolumenströme bei freier Lüftung für einzelne Räume mit Fenstern nach DIN 1946-6:2019 (und nach DIN 1946-6:2009).
    Bild 7: Korrekturfaktoren zur Bestimmung des Außenluftvolumenstroms durch Infiltration bei freier Lüftung nach DIN 1946-6:2019.

    Bild: ITG Dresden, Quelle: DIN 1946-6:2019 und DIN 1946-6:2009

    Bild 7: Korrekturfaktoren zur Bestimmung des Außenluftvolumenstroms durch Infiltration bei freier Lüftung nach DIN 1946-6:2019.
    Bild 8: Gesamt-Abluft­volumenströme bei ­ventilatorgestützter Lüftung für einzelne Räume mit oder ohne Fenster nach DIN 1946-6:2019 und nach DIN 1946-6:2009.

    Bild: ITG Dresden, Quelle: DIN 1946-6:2019 und DIN 1946-6:2009

    Bild 8: Gesamt-Abluft­volumenströme bei ­ventilatorgestützter Lüftung für einzelne Räume mit oder ohne Fenster nach DIN 1946-6:2019 und nach DIN 1946-6:2009.
    Bild 9: Volumenstromkoeffizient zur Bestimmung des Außenluftvolumenstroms durch Infiltration bei ventilatorgestützter Lüftung nach DIN 1946-6:2019.

    Bild: ITG Dresden, Quelle: DIN 1946-6:2019 und DIN 1946-6:2009

    Bild 9: Volumenstromkoeffizient zur Bestimmung des Außenluftvolumenstroms durch Infiltration bei ventilatorgestützter Lüftung nach DIN 1946-6:2019.

    Info

    Artikelserie: Überarbeitung der DIN 1946-6

    In unserer Reihe stellen wir in Zusammenarbeit mit dem Fachverband Gebäude-Klima e. V. die
    neue Fassung der DIN 1946-6 ­ausführlich vor. Dabei stehen die folgenden Themen im Mittelpunkt:

  • Teil 1: Anwendungsbereich und Neuerungen für ventilatorgestützte Systeme SBZ 01-20
  • Teil 2: Erstellung eines Lüftungskonzepts SBZ 03-20
  • Teil 3: Kombinierte Lüftungssys­teme SBZ 04-20
  • Autor

    Prof. Dr.-Ing. Thomas ­Hartmann 
    ist Geschäftsführer des ITG Instituts für Technische ­Gebäudeausrüstung Dresden, Forschung und Anwendung GmbH, 01219 Dresden,

    Bild: Hartmann